Free Access

Fig. 7

thumbnail

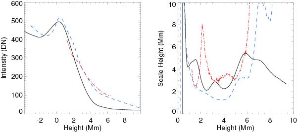
Spatially and temporally averaged intensity profiles (left panel) for the penumbra (black solid), the plage (blue dash) and the spicule (red dash-dot) as a function of height in the atmosphere relative to τ5000 = 1. The right panel shows the calculated intensity scale heights for each feature.

This figure is made of several images, please see below:

Current usage metrics show cumulative count of Article Views (full-text article views including HTML views, PDF and ePub downloads, according to the available data) and Abstracts Views on Vision4Press platform.

Data correspond to usage on the plateform after 2015. The current usage metrics is available 48-96 hours after online publication and is updated daily on week days.

Initial download of the metrics may take a while.