Free Access

Fig. 5

thumbnail

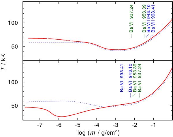
Temperature structures of the final model atmospheres of G191−B2B (top panel, thick, red line; Rauch et al. 2013, H, He, C, N, O, Al, Si, P, S, Ca, Sc, Ti, V, Cr, Mn, Fe, Co, Ni, Zn, and Ge opacities considered) and RE 0503−289 (bottom panel, thick, red line; Rauch et al. 2014, He, C, N, O, Ca, Sc, Ti, V, Cr, Mn, Fe, Co, Ni, Zn, Ge, Kr, and Xe). The dashed, blue lines show the temperature structures of H+Ba (top) and He+Ba (bottom) models calculated with the same Teff and log g like the final models, respectively. The formation depths (i.e., τ = 1) of the cores of our strategic of the cores of our strategic Ba vi vii lines in FUSE’s wavelength range are marked.

Current usage metrics show cumulative count of Article Views (full-text article views including HTML views, PDF and ePub downloads, according to the available data) and Abstracts Views on Vision4Press platform.

Data correspond to usage on the plateform after 2015. The current usage metrics is available 48-96 hours after online publication and is updated daily on week days.

Initial download of the metrics may take a while.