Free Access

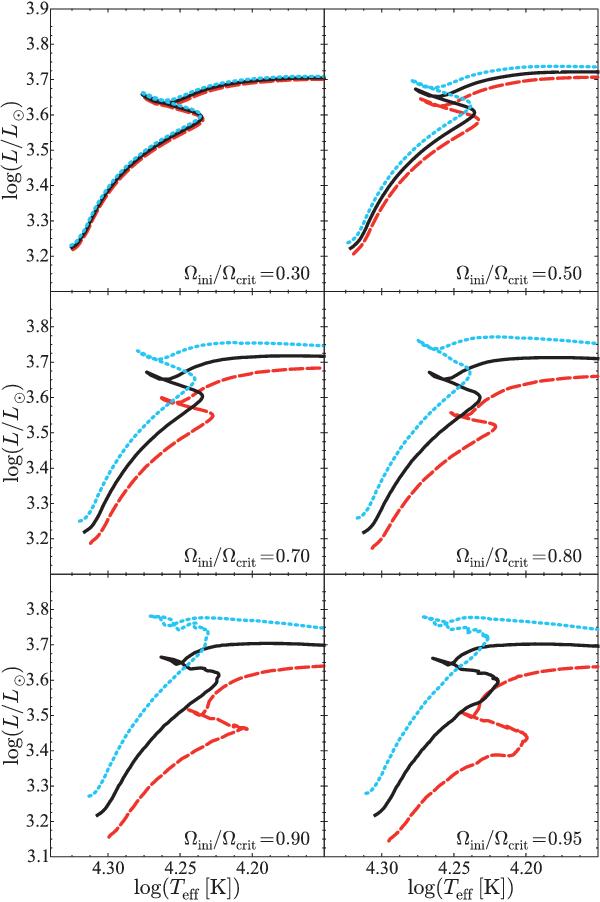
Fig. 4

thumbnail

Evolutionary tracks for 7 M stellar models at Z = 0.014 for various initial rotation rates, when the effects of gravity-darkening are accounted for. The blue dotted lines show the track for a star seen pole-on (i = 0°). The solid black and dashed red lines show the tracks with i = 45°, respectively 90° (equator-on).

Current usage metrics show cumulative count of Article Views (full-text article views including HTML views, PDF and ePub downloads, according to the available data) and Abstracts Views on Vision4Press platform.

Data correspond to usage on the plateform after 2015. The current usage metrics is available 48-96 hours after online publication and is updated daily on week days.

Initial download of the metrics may take a while.