Free Access

Fig. 3

thumbnail

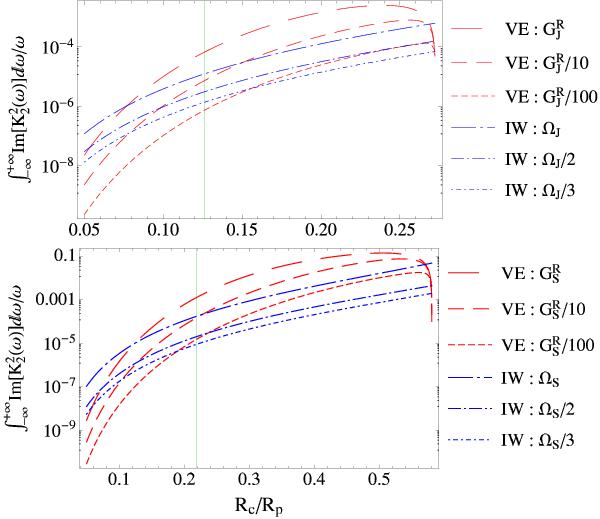
Dissipation reservoirs for the viscoelastic dissipation in the core (red curves) and the turbulent friction in the fluid envelope (blue curves) in Jupiter- (above) and Saturn-like planets (below) as a function of the aspect ratio Rc/Rp, the rotation rate Ω, and the rigidity of the core G, with fixed Rp and Mp. We use the values Mc/Mp = {0.02,0.196} from Guillot (1999) and Hubbard et al. (2009) for Jupiter and Saturn, respectively. The vertical green line corresponds to Rc/Rp = {0.126,0.219}.

This figure is made of several images, please see below:

Current usage metrics show cumulative count of Article Views (full-text article views including HTML views, PDF and ePub downloads, according to the available data) and Abstracts Views on Vision4Press platform.

Data correspond to usage on the plateform after 2015. The current usage metrics is available 48-96 hours after online publication and is updated daily on week days.

Initial download of the metrics may take a while.