Free Access

Fig. 4

thumbnail

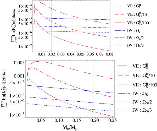
Same as Fig. 3, but as a function of the mass ratio Mc/Mp with fixed Mp and Rp. We adopt Rc/Rp = {0.126,0.219} for Jupiter and Saturn. The wide Mc-ranges [1, 325] M for Jupiter and [224] M for Saturn are those considered as possible by Guillot (1999), Nettelmann (2011), Nettelmann et al. (2013). The vertical green line corresponds to Mc/Mp = {0.02,0.196}.

This figure is made of several images, please see below:

Current usage metrics show cumulative count of Article Views (full-text article views including HTML views, PDF and ePub downloads, according to the available data) and Abstracts Views on Vision4Press platform.

Data correspond to usage on the plateform after 2015. The current usage metrics is available 48-96 hours after online publication and is updated daily on week days.

Initial download of the metrics may take a while.