Free Access

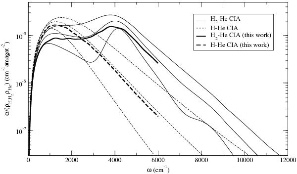
Fig. 3

thumbnail

H2 − He (thin solid lines, Abel et al. (2012)) and H − He (thin dashed lines, Gustafsson & Frommhold (2001)) CIA opacities. The results for T = 7000 K, 5000 K and 3000 K are presented (from top to bottom). The thick lines represent the result of our simulation performed for T = 5000 K, ρH2,H = 16 amagat, and ρHe = 498 amagat, where amagat = 2.68678 × 1019 cm-3.

Current usage metrics show cumulative count of Article Views (full-text article views including HTML views, PDF and ePub downloads, according to the available data) and Abstracts Views on Vision4Press platform.

Data correspond to usage on the plateform after 2015. The current usage metrics is available 48-96 hours after online publication and is updated daily on week days.

Initial download of the metrics may take a while.