Free Access

Fig. 7

thumbnail

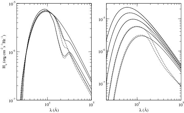
Left panel: synthetic spectra of Teff = 5300 K and log  g = 8 (cgs) helium-rich white dwarfs computed without (solid lines) and with (dashed lines) the IR opacity of helium computed in these studies. The three sets of lines represent the models of He/H = 106 (resembling the pure He spectrum), 105 and 104, counting from top to bottom by taking the values at λ = 20 000 Å. Right panel: synthetic spectra of pure He atmosphere white dwarfs (log  g = 8 (cgs)) computed without (solid lines) and with (dashed lines) the IR opacity of helium computed in these studies. The different sets of lines represent the results for Teff = 8000 K, 7000 K, 6000 K, 5000 K and 4000 K (from top to bottom). The vertical axis label is identical to that of the left panel.

Current usage metrics show cumulative count of Article Views (full-text article views including HTML views, PDF and ePub downloads, according to the available data) and Abstracts Views on Vision4Press platform.

Data correspond to usage on the plateform after 2015. The current usage metrics is available 48-96 hours after online publication and is updated daily on week days.

Initial download of the metrics may take a while.