Free Access
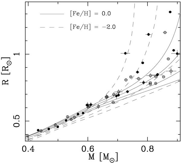
Fig. 11

Mass–radius diagram for well-measured DEBs with at least one component in the mass range of 0.4–0.9 M⊙. Solid symbols represent primary (more massive) and open symbols secondary components. Dartmouth isochrones of solar composition (solid) and metal-depletion (dashed) are plotted for ages 1, 5, 10 and 14 Gyr.
Current usage metrics show cumulative count of Article Views (full-text article views including HTML views, PDF and ePub downloads, according to the available data) and Abstracts Views on Vision4Press platform.
Data correspond to usage on the plateform after 2015. The current usage metrics is available 48-96 hours after online publication and is updated daily on week days.
Initial download of the metrics may take a while.