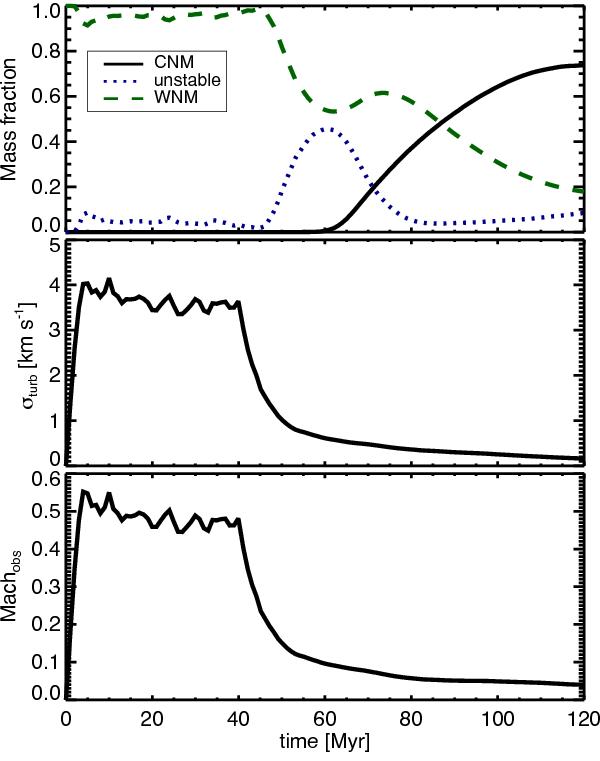
Fig. 12

Time evolution of the mass fraction in the CNM, WNM and thermally unstable gas (top), the mean Mach number ℳobs (middle), and the mean velocity dispersion σturb (bottom) for a decaying simulation with the following initial conditions: n0 = 1 cm-3, ζ = 1.0, vS = 7.0 km s-1. The turbulent driving was applied at first and shut down after 40 Myear.
Current usage metrics show cumulative count of Article Views (full-text article views including HTML views, PDF and ePub downloads, according to the available data) and Abstracts Views on Vision4Press platform.
Data correspond to usage on the plateform after 2015. The current usage metrics is available 48-96 hours after online publication and is updated daily on week days.
Initial download of the metrics may take a while.