Free Access
Fig. 14

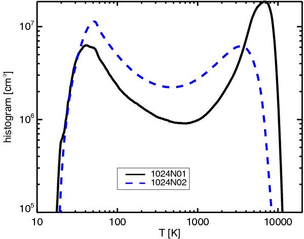
Histogram of temperature weighted by density for 1024N01 (solid black line) and 1024N02 (dashed blue line). The histogram of 1024N02 was divided by 2 to be comparable to 1024N01.
Current usage metrics show cumulative count of Article Views (full-text article views including HTML views, PDF and ePub downloads, according to the available data) and Abstracts Views on Vision4Press platform.
Data correspond to usage on the plateform after 2015. The current usage metrics is available 48-96 hours after online publication and is updated daily on week days.
Initial download of the metrics may take a while.