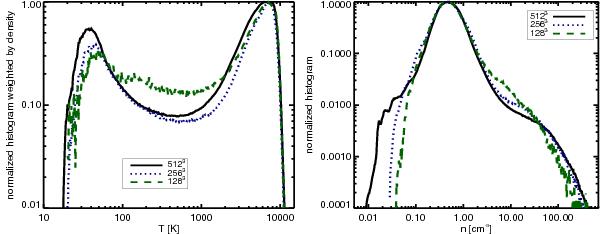
Fig. 5

Histograms of temperature weighted by density (left) and density (right). Curves shown are for simulations with initial conditions of n0 = 1 cm-3, ζ = 0.2, vS = 12.5 km s-1, and different resolutions: 5123 (solid black line), 2563 (dotted blue line) and 1283 cells (dashed green line). All histograms were computed at t = 40 Myr.
Current usage metrics show cumulative count of Article Views (full-text article views including HTML views, PDF and ePub downloads, according to the available data) and Abstracts Views on Vision4Press platform.
Data correspond to usage on the plateform after 2015. The current usage metrics is available 48-96 hours after online publication and is updated daily on week days.
Initial download of the metrics may take a while.