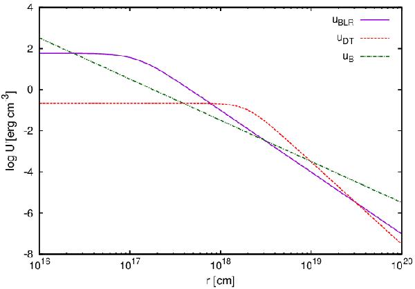
Fig. 1

Energy density of the extended fields as a function of the distance from the central source. The energy density is given in the jet comoving frame. The solid violet line represents the energy density of BLR, the dashed red line the energy density of DT, and the dash-dotted green line the energy density of magnetic field.
Current usage metrics show cumulative count of Article Views (full-text article views including HTML views, PDF and ePub downloads, according to the available data) and Abstracts Views on Vision4Press platform.
Data correspond to usage on the plateform after 2015. The current usage metrics is available 48-96 hours after online publication and is updated daily on week days.
Initial download of the metrics may take a while.