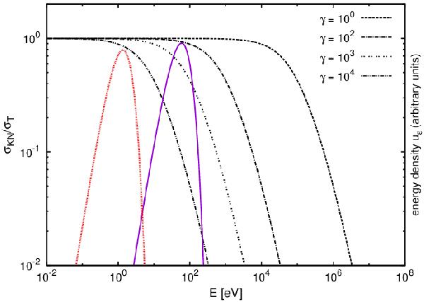
Fig. 3

Klein-Nishina correction factor, σKN/σT, as a function of the photon energy for different electron Lorentz factors, γ (black lines). The blue and red lines represent the energy densities of two external photon fields, BLR and DT, respectively, transformed into the jet comoving frame.
Current usage metrics show cumulative count of Article Views (full-text article views including HTML views, PDF and ePub downloads, according to the available data) and Abstracts Views on Vision4Press platform.
Data correspond to usage on the plateform after 2015. The current usage metrics is available 48-96 hours after online publication and is updated daily on week days.
Initial download of the metrics may take a while.