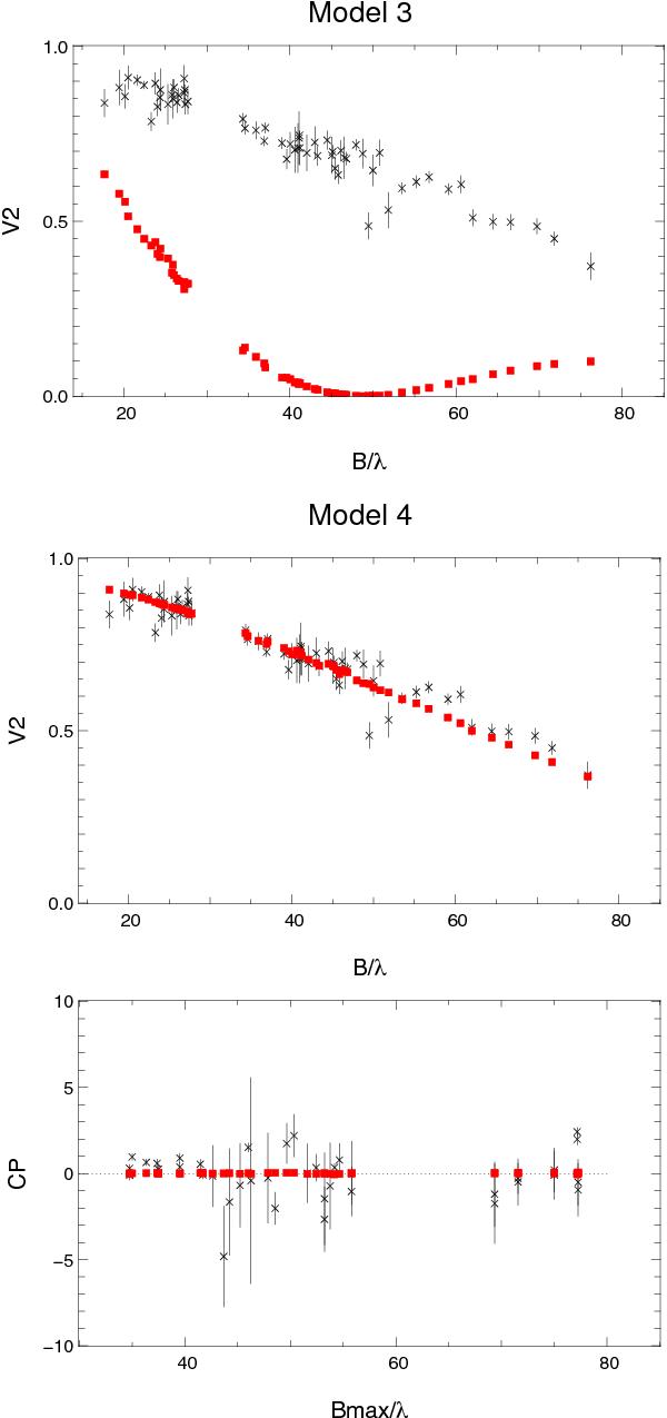
Fig. 5

Upper panel: squared visibilities (in red) of Model 3 overplotted onto the observed 1.6 μm VLTI/PIONIER visibilities (in black). An inner disk starting at 0.2 AU is not consistent with observations. VLTI/PIONIER data clearly shows that there is material at smaller radii (i.e., inside the silicate sublimation radius). Central panel: squared visibilities (in red) predicted by Model 4 (Rin = 0.08 AU). Lower panel: closure phases (CP) predicted by Model 4 (red) and measured by VLTI/PIONIER (black).
Current usage metrics show cumulative count of Article Views (full-text article views including HTML views, PDF and ePub downloads, according to the available data) and Abstracts Views on Vision4Press platform.
Data correspond to usage on the plateform after 2015. The current usage metrics is available 48-96 hours after online publication and is updated daily on week days.
Initial download of the metrics may take a while.