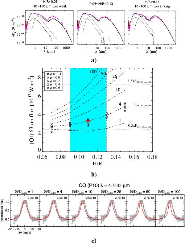
Fig. 8

Top panels: SED for disks with different values of H/R in the family of models 5. The reference radius used is 10 AU, and H/R is set to be the same for the outer and the inner disk. The cyan color shows the allowed range of H/R consistent with the SED. Central panel: flux of the [O i] line at 63 μm as a function of H/R for surface density exponents q of the inner disk ranging from −0.4 to +0.6 (see legend) for a gas-to-dust ratio of the outer disk equal to 4. The dashed lines show the line flux for different gas-to-dust ratios of the outer disk for a constant inner disk surface density exponent q = 0.2. Bottom panels: expected CO P(10) profiles for different values of the gas-to-dust ratio in the outer disk for the family of models 5 assuming H/R = 0.11 and q = 0.2. The number in the top right corner of each panel is the CO P(10) line flux in W m-2. The star represents the values of Model 5 in Table 4 and Fig. 6. The best combined fit of the [O i] 63 μm line flux and the CO P(10) line profile is given by gas-to-dust ratios below 10 in the outer disk.
Current usage metrics show cumulative count of Article Views (full-text article views including HTML views, PDF and ePub downloads, according to the available data) and Abstracts Views on Vision4Press platform.
Data correspond to usage on the plateform after 2015. The current usage metrics is available 48-96 hours after online publication and is updated daily on week days.
Initial download of the metrics may take a while.