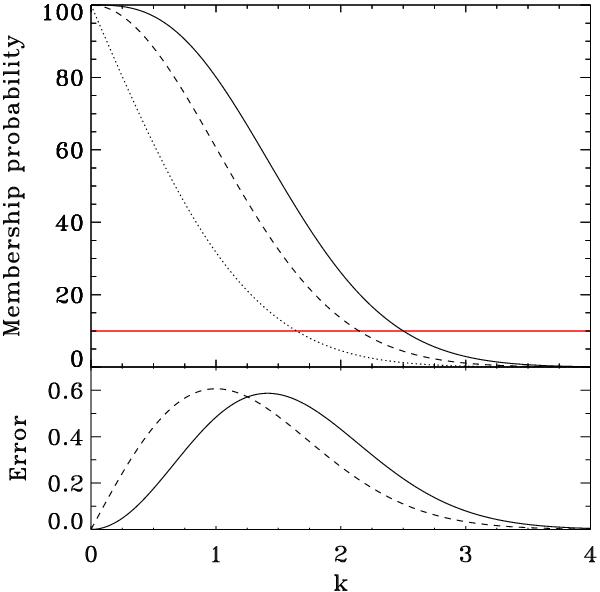
Fig. A.2

Top panel: membership probability of the standard normal random variable k (in unit of the variance) in the case of the standard 1D (dotted line), 2D (Eq. (5); dashed line), and 3D (Eq. (2); solid line) normal distributions. The horizontal line represents the threshold at 10% used in this work. Bottom panel: associated uncertainty of the membership probability relative to the error estimate of k, Δk. This corresponds to the partial derivative of the membership probability with respect to k for the 2D (Eq. (6); dashed line) and 3D (Eq. (3); solid line) normal distributions.
Current usage metrics show cumulative count of Article Views (full-text article views including HTML views, PDF and ePub downloads, according to the available data) and Abstracts Views on Vision4Press platform.
Data correspond to usage on the plateform after 2015. The current usage metrics is available 48-96 hours after online publication and is updated daily on week days.
Initial download of the metrics may take a while.