Free Access
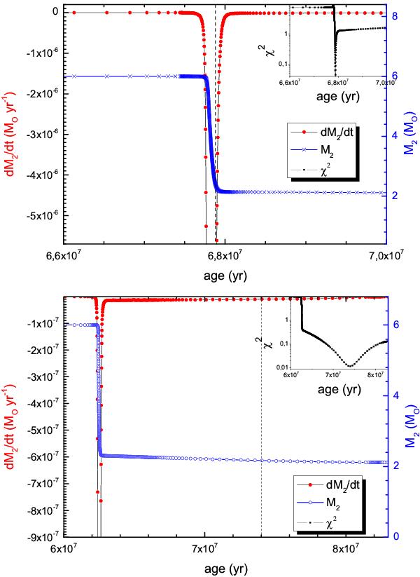
Fig. 12

Best-fit results for the evolution of DQ Vel with a gainer star under a synchronous rotation regime (upper panel) and with a gainer star under a critical rotation regime (lower panel). The vertical dashed line represents the current stage of DQ Vel.
This figure is made of several images, please see below:
Current usage metrics show cumulative count of Article Views (full-text article views including HTML views, PDF and ePub downloads, according to the available data) and Abstracts Views on Vision4Press platform.
Data correspond to usage on the plateform after 2015. The current usage metrics is available 48-96 hours after online publication and is updated daily on week days.
Initial download of the metrics may take a while.