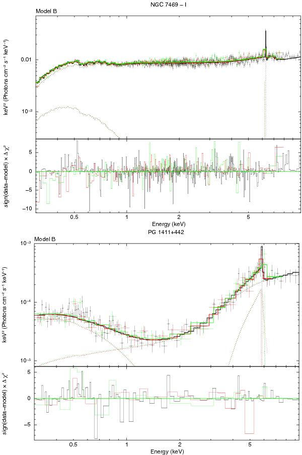
Fig. 2

XMM-Newton EPIC spectra of the first observation of NGC 7469 (left panel) and of PG 1411+442 (right panel). The black points represent EPIC/PN data, and the red and green MOS data. The dotted lines show the different components of the models used. In the case of PG 1411+442 besides a power law and a narrow Fe Kα line, a broad relativistic line was added. Details on the models and on their parameters are reported in Appendices A and B.
Current usage metrics show cumulative count of Article Views (full-text article views including HTML views, PDF and ePub downloads, according to the available data) and Abstracts Views on Vision4Press platform.
Data correspond to usage on the plateform after 2015. The current usage metrics is available 48-96 hours after online publication and is updated daily on week days.
Initial download of the metrics may take a while.