Free Access
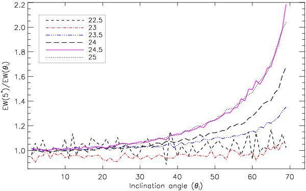
Fig. 3

Ratio of the iron Kα EW at θ i = 5° and the EW(θi) for different values of the equatorial column density of the torus obtained using the model of Ikeda et al. (2009) for θOA = 70° and Γ = 1.9. The scatter in the figure is intrinsic to the Monte Carlo simulations.
Current usage metrics show cumulative count of Article Views (full-text article views including HTML views, PDF and ePub downloads, according to the available data) and Abstracts Views on Vision4Press platform.
Data correspond to usage on the plateform after 2015. The current usage metrics is available 48-96 hours after online publication and is updated daily on week days.
Initial download of the metrics may take a while.