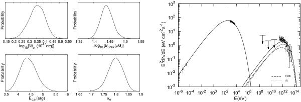
Fig. 2

Leptonic scenario for δe = 0.5. Left: 1D probability distribution of the model parameters. Right: the best-fit to the SED derived from observations in the radio (Tian et al. 2008), X-rays (Abramowski et al. 2011), which have been scaled upward by a factor of 2.75 due to the incomplete spatial coverage of the XMM images, and γ-rays (Abramowski et al. 2011). The corresponding model parameters are listed in the Table 1.
Current usage metrics show cumulative count of Article Views (full-text article views including HTML views, PDF and ePub downloads, according to the available data) and Abstracts Views on Vision4Press platform.
Data correspond to usage on the plateform after 2015. The current usage metrics is available 48-96 hours after online publication and is updated daily on week days.
Initial download of the metrics may take a while.