Free Access
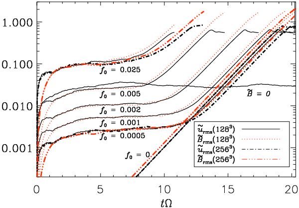
Fig. 1

Time dependence of and
for runs with
(Runs G1-G4 and G7). In addition, sample runs with higher resolution (2563, Runs P1-P4), no magnetic fields, and no forcing (Run N6) are included for comparison.
Current usage metrics show cumulative count of Article Views (full-text article views including HTML views, PDF and ePub downloads, according to the available data) and Abstracts Views on Vision4Press platform.
Data correspond to usage on the plateform after 2015. The current usage metrics is available 48-96 hours after online publication and is updated daily on week days.
Initial download of the metrics may take a while.