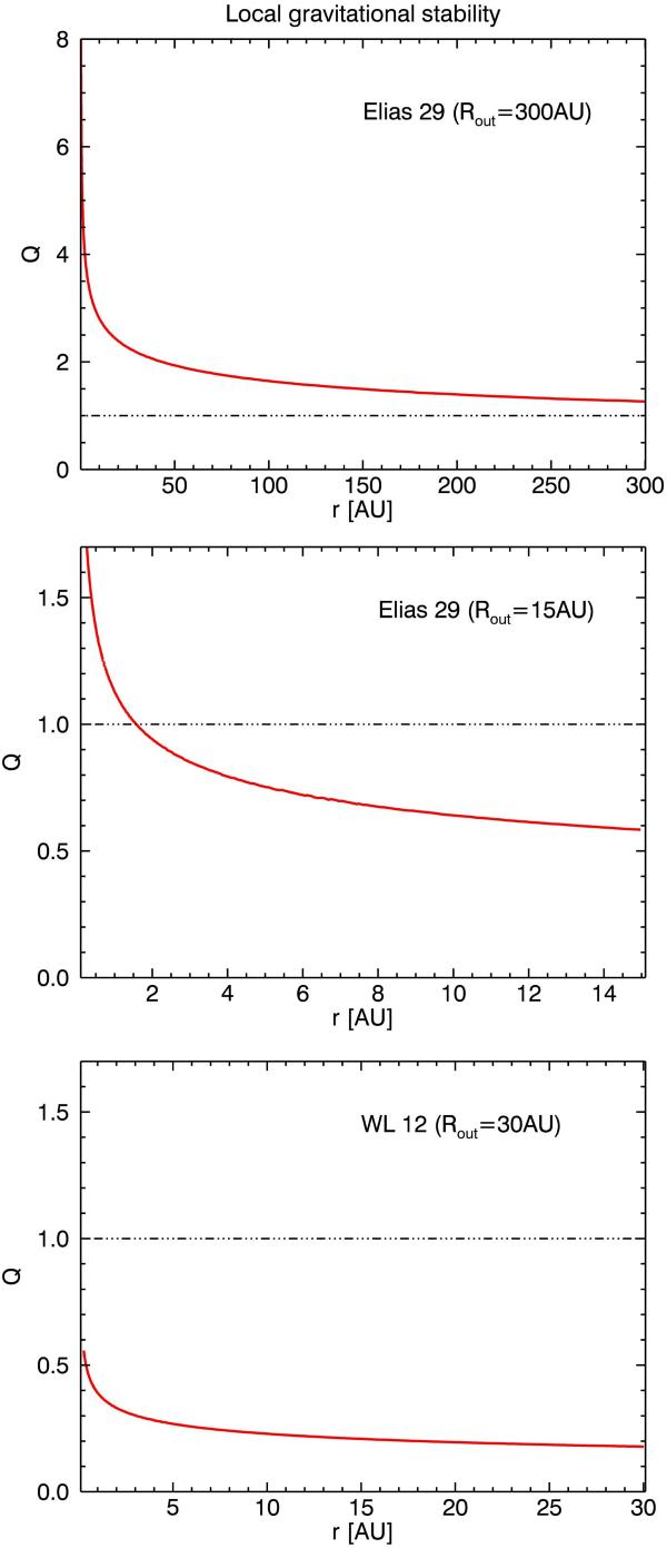
Fig. 8

Radial profile of the stability parameter Q. For Elias29 in the upper panel an extended disk model is assumed (Rout = 300 AU), while in the central panel a compact disk model is assumed (Rout = 15 AU). In the first case, in the outer regions of the disk Q approaches unity, showing marginal stability. In the second case, the value of Q drops below unity, showing the presence of strong gravitational instability. In the bottom panel a compact disk model is assumed (Rout = 30 AU) for WL12. In this case Q also assumes very low values, showing that prominent gravitational instability is present.
Current usage metrics show cumulative count of Article Views (full-text article views including HTML views, PDF and ePub downloads, according to the available data) and Abstracts Views on Vision4Press platform.
Data correspond to usage on the plateform after 2015. The current usage metrics is available 48-96 hours after online publication and is updated daily on week days.
Initial download of the metrics may take a while.