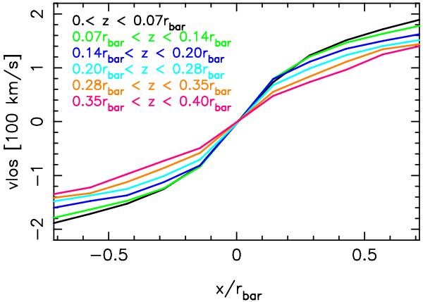
Fig. 10

Total line of sight velocity along the bulge major axis, for six different projected vertical distances from the galaxy mid-plane: 0 <z< 0.07rbar (black curve); 0.07rbar<z< 0.14rbar (green curve); 0.14rbar<z< 0.20rbar (blue curve); 0.20rbar<z< 0.28rbar (cyan curve); 0.28rbar<z< 0.35rbar (orange curve); 0.35rbar<z< 0.40rbar (red curve). All stars, independently on their birth radius, have been considered for this plot.
Current usage metrics show cumulative count of Article Views (full-text article views including HTML views, PDF and ePub downloads, according to the available data) and Abstracts Views on Vision4Press platform.
Data correspond to usage on the plateform after 2015. The current usage metrics is available 48-96 hours after online publication and is updated daily on week days.
Initial download of the metrics may take a while.