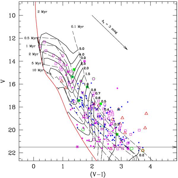
Fig. 12

V/ (V − I) CMD for all the detected YSOs (symbols as in Fig. 9, see Sect. 4.2.2 for details). The isochrone for 2 Myr by Marigo et al. (2008) (continuous line) and PMS isochrones for 1, 2, 5, and 10 Myr by Siess et al. (2000) (dashed lines) are also shown. All the isochrones are corrected for a distance of 2.9 kpc and reddening E(B − V) = 0.25. The horizontal line with arrow is the completeness limit of the observations.
Current usage metrics show cumulative count of Article Views (full-text article views including HTML views, PDF and ePub downloads, according to the available data) and Abstracts Views on Vision4Press platform.
Data correspond to usage on the plateform after 2015. The current usage metrics is available 48-96 hours after online publication and is updated daily on week days.
Initial download of the metrics may take a while.