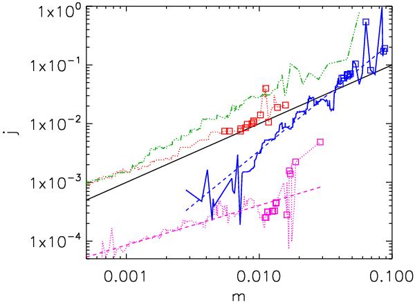
Fig. 3

Median angular momentum fraction (JD/JH = jd) for the stellar (dotted red line) and gaseous (dash-dotted green line) disc components as a function of the ratio between the stellar and gaseous disc masses and of the dark matter haloes. We also show the same relation for the stellar central spheroids (dashed pink line), which determines a well-defined correlation, but still consistent with weaker angular momentum conservation. The relation for the total baryonic mass is also included (solid blue line). The dashed blue line shows the relation j ∝ m2. The dashed pink line represents the linear fit to the relation defined by stellar central spheroids.
Current usage metrics show cumulative count of Article Views (full-text article views including HTML views, PDF and ePub downloads, according to the available data) and Abstracts Views on Vision4Press platform.
Data correspond to usage on the plateform after 2015. The current usage metrics is available 48-96 hours after online publication and is updated daily on week days.
Initial download of the metrics may take a while.