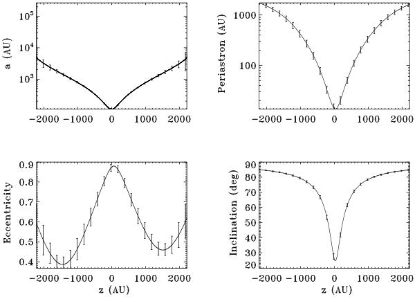
Fig. 10

Semi-major axis, periastron, eccentricity, and inclination of possible binary orbits as a function of the separation along the line of sight z (at reference epoch 2007.0), derived from relative positions and velocities on the plane of the sky and RV difference between the components. The probable curvature in position angle vs. time and the long-term RV trends are compatible with a limited range in z.
Current usage metrics show cumulative count of Article Views (full-text article views including HTML views, PDF and ePub downloads, according to the available data) and Abstracts Views on Vision4Press platform.
Data correspond to usage on the plateform after 2015. The current usage metrics is available 48-96 hours after online publication and is updated daily on week days.
Initial download of the metrics may take a while.