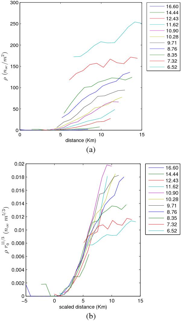
Fig. 1

Optical vortex density from single phase wheel data for selected turbulence
strengths. For each curve, the turbulence strength, given by r0, is
held constant while the propagation distance is varied using the optical trombone.
a) Raw optical vortex density vs. propagation distance. b)
Optical vortex density normalized by
and plotted against the scaled propagation distance (z −
z0).
Current usage metrics show cumulative count of Article Views (full-text article views including HTML views, PDF and ePub downloads, according to the available data) and Abstracts Views on Vision4Press platform.
Data correspond to usage on the plateform after 2015. The current usage metrics is available 48-96 hours after online publication and is updated daily on week days.
Initial download of the metrics may take a while.