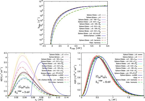
Fig. A.4

Evaporation rate (upper panel), and distribution of KER at
eV (lower left
panel) and
eV (lower right
panel) of (C54H18)4 for various
combinations of parameters and assumptions. Cpot is
the parameter of the attractive term in the LJ potential. BS and
BO are the B rotational
constants of the sphere and oblate top, respectively. A and
C
refer to the first and last rotational constants of the oblate top, respectively.
All results are normalised to kevap = 1010
s-1 at
eV. This implies that
all models lead to equal areas of KER distributions at 6 eV, but different ones at
3 eV. See text for details.
Current usage metrics show cumulative count of Article Views (full-text article views including HTML views, PDF and ePub downloads, according to the available data) and Abstracts Views on Vision4Press platform.
Data correspond to usage on the plateform after 2015. The current usage metrics is available 48-96 hours after online publication and is updated daily on week days.
Initial download of the metrics may take a while.