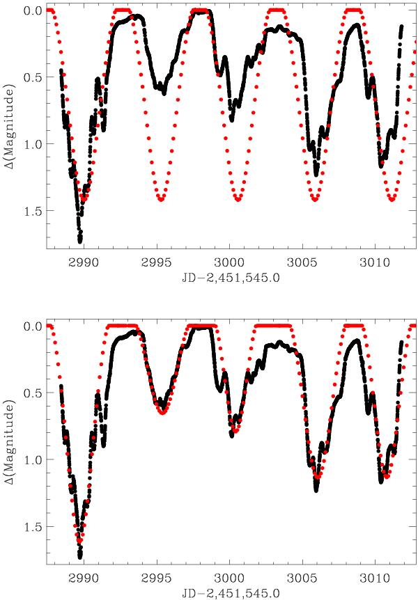
Fig. 10

Best fit of the occultation model with fixed parameters (top), corresponding to a warp with maximum scale height of 0.3 and azimuthal extension of 360°. Individual fit of the model to light-curve minima (bottom). The corresponding properties of the warp are indicated in Table 4.
Current usage metrics show cumulative count of Article Views (full-text article views including HTML views, PDF and ePub downloads, according to the available data) and Abstracts Views on Vision4Press platform.
Data correspond to usage on the plateform after 2015. The current usage metrics is available 48-96 hours after online publication and is updated daily on week days.
Initial download of the metrics may take a while.