Free Access
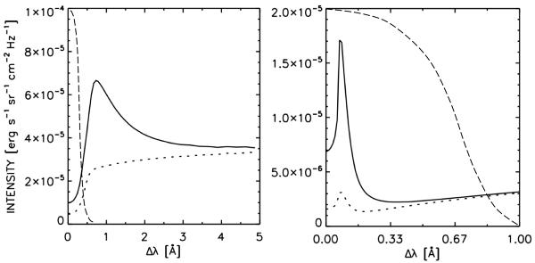
Fig. 5

Comparison of filter bandpasses with the width of Hα (left) and CaII H lines (right). Solid lines show representative line profiles of EBs, dotted lines represent the quiet-Sun line profiles, and dashed lines are the relative transmitance profiles of the DOT filters.
Current usage metrics show cumulative count of Article Views (full-text article views including HTML views, PDF and ePub downloads, according to the available data) and Abstracts Views on Vision4Press platform.
Data correspond to usage on the plateform after 2015. The current usage metrics is available 48-96 hours after online publication and is updated daily on week days.
Initial download of the metrics may take a while.