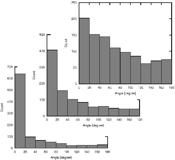
Fig. 6

Distributions of the projected spin-orbit angle found in Monte Carlo simulations as described in the text, for three values of the maximum of the log-flat distribution of the semi-major axis of the binary. Top right: amax = 103 AU. Middle: amax = 103.75 AU. Bottom left: amax = 104.5 AU.
Current usage metrics show cumulative count of Article Views (full-text article views including HTML views, PDF and ePub downloads, according to the available data) and Abstracts Views on Vision4Press platform.
Data correspond to usage on the plateform after 2015. The current usage metrics is available 48-96 hours after online publication and is updated daily on week days.
Initial download of the metrics may take a while.