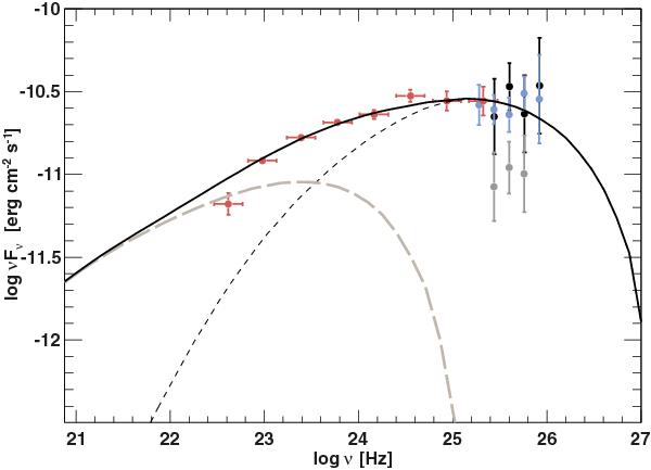
Fig. 8

High-energy part of the SED of PKS 1424+240 fitted with a two-zone SSC model and with Fermi-LAT data (red symbols) and MAGIC 2009, 2010, and 2011 data (gray, black, and blue symbols, respectively), which are corrected for EBL absorption by assuming redshift of 0.6 and the EBL model of Franceschini et al. (2008). The peak is located at ~60 GeV.
Current usage metrics show cumulative count of Article Views (full-text article views including HTML views, PDF and ePub downloads, according to the available data) and Abstracts Views on Vision4Press platform.
Data correspond to usage on the plateform after 2015. The current usage metrics is available 48-96 hours after online publication and is updated daily on week days.
Initial download of the metrics may take a while.