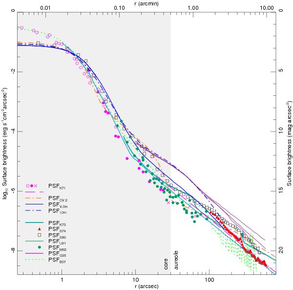
Fig. 2

PSF surface-brightness profiles versus the radius r for a 0 mag point source, from references that are discussed by B07. Individual PSFs are drawn with coloured lines and symbols as indicated in the figure, see also Table 1. PSFK71, PSFV,0m, PSFi,0m, and PSFCV,2 are shown in this figure as references. The light grey region indicates the PSF core, and the white region the aureole, as defined for PSFCV,1 and PSFCV,2 (CV83).
Current usage metrics show cumulative count of Article Views (full-text article views including HTML views, PDF and ePub downloads, according to the available data) and Abstracts Views on Vision4Press platform.
Data correspond to usage on the plateform after 2015. The current usage metrics is available 48-96 hours after online publication and is updated daily on week days.
Initial download of the metrics may take a while.