Free Access
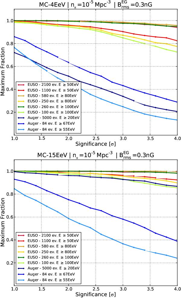
Fig. 22

Fractions of the 500 realizations of the MC-4 EeV model (top) and of the MC-15 EeV model (bottom) with ns = 10-5 Mpc-3, whose two-point correlation function shows an anisotropy with a significance greater than the significance indicated in abscissa, for different statistics (as indicated).
This figure is made of several images, please see below:
Current usage metrics show cumulative count of Article Views (full-text article views including HTML views, PDF and ePub downloads, according to the available data) and Abstracts Views on Vision4Press platform.
Data correspond to usage on the plateform after 2015. The current usage metrics is available 48-96 hours after online publication and is updated daily on week days.
Initial download of the metrics may take a while.