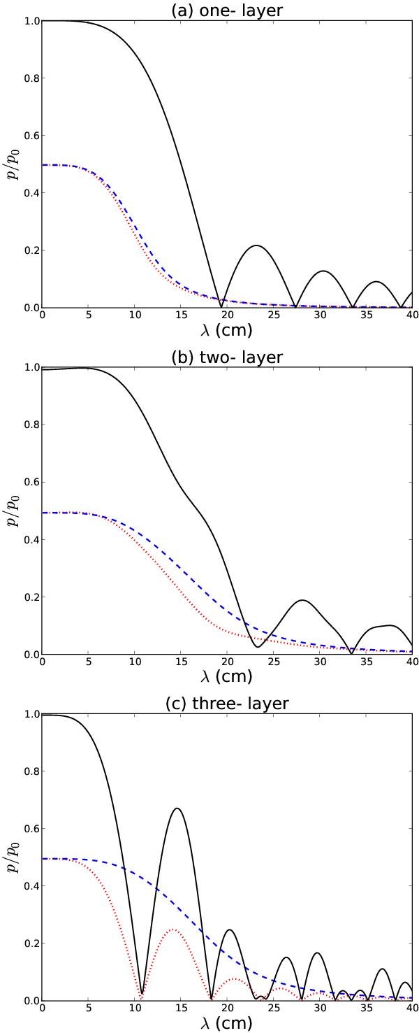
Fig. 1

Normalized degree of polarization as a function of wavelength illustrated for a one-layer a), two-layer b), three-layer c) system with characteristic profiles for DFR only (black solid), IFD only (blue dashed), and DFR with IFD (red dotted). A total isotropic turbulent magnetic field strength of 5 μG together with a total regular magnetic field strength also of 5 μG has been used in the disk and in the halo. The parameters of ne,ncr,L,d,α used in the construction of these plots are the same as those for the example bin of Sect. 6 and their values are reported in the bottom panel of Table 1.
Current usage metrics show cumulative count of Article Views (full-text article views including HTML views, PDF and ePub downloads, according to the available data) and Abstracts Views on Vision4Press platform.
Data correspond to usage on the plateform after 2015. The current usage metrics is available 48-96 hours after online publication and is updated daily on week days.
Initial download of the metrics may take a while.