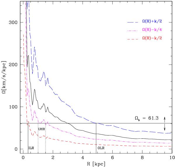
Fig. 15

Angular velocity curve for the disk of NGC 253 from Arnaboldi et al. (1995): Ω(R) (solid black curve) and the curves relative to Ω(R) − K(R)/2 (short-dashed red line), Ω(R) + K(R)/2 (long-dashed blue line) and Ω(R) − K(R)/4 (long-dashed-point magenta line). The horizontal line corresponds to the value of the bar pattern speed Ωb ≃ 61.3 km s-1/kpc. The two vertical segments correspond to the ILR (at R ~ 0.33 kpc) and OLR (at R ~ 4.9 kpc) radii. The two dotted vertical segments correspond to the range of radii where the UHR lies at R ~ 1.3 kpc. The two vertical arrows indicates the lower and upper limit for the Ωb.
Current usage metrics show cumulative count of Article Views (full-text article views including HTML views, PDF and ePub downloads, according to the available data) and Abstracts Views on Vision4Press platform.
Data correspond to usage on the plateform after 2015. The current usage metrics is available 48-96 hours after online publication and is updated daily on week days.
Initial download of the metrics may take a while.