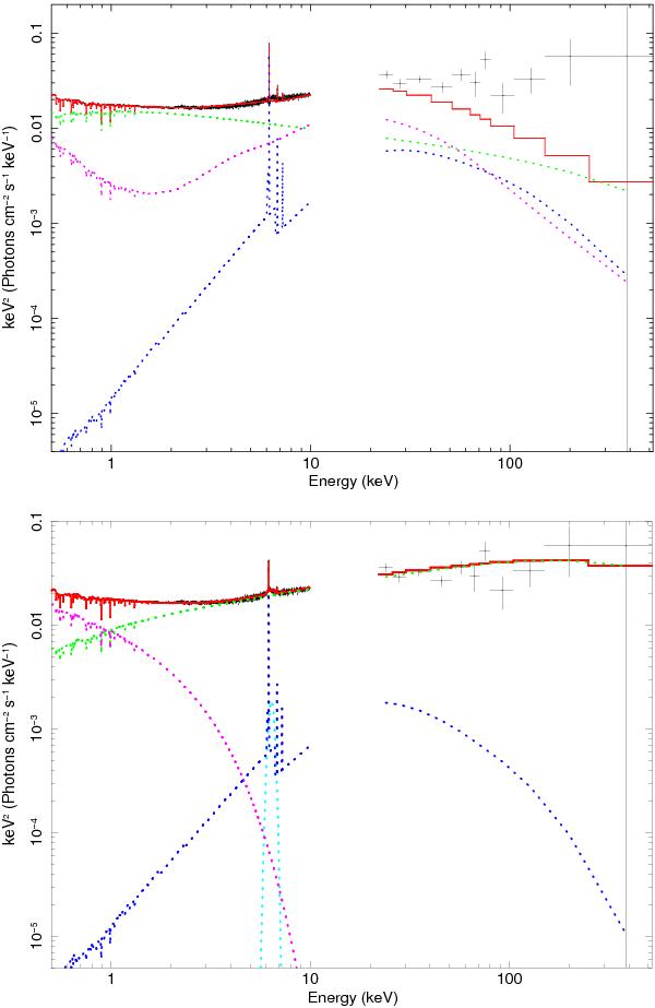
Fig. 3

Average XMM-Newton and INTEGRAL spectrum of Mrk 509 in XSPEC; Top panel: data are in black, ionized-blurred reflection fitting result is in red and components of the fitting model are in dash lines (cutoffpl: green, pexmon: blue, kdblur*reflionx: pink); Bottom panel: data are in black, warm Comptonization fitting result is in red and components of the fitting model are in dash lines (cutoffpl: green, pexmon: dark blue, zgauss: light blue, nthcomp: pink).
Current usage metrics show cumulative count of Article Views (full-text article views including HTML views, PDF and ePub downloads, according to the available data) and Abstracts Views on Vision4Press platform.
Data correspond to usage on the plateform after 2015. The current usage metrics is available 48-96 hours after online publication and is updated daily on week days.
Initial download of the metrics may take a while.