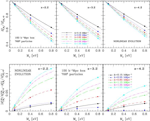
Fig. 10

Top panels: total nonlinear matter power spectra in simulations
with massive neutrinos, normalized by the reference run with only a massless
neutrino component as a function of neutrino mass and for different values of
k in
the range relevant for the BOSS Lyα forest data – as specified in the panels.
Bottom panels: evolution of
for the same k- and z-intervals as
considered in the top panels. See the main text for more
details.
Current usage metrics show cumulative count of Article Views (full-text article views including HTML views, PDF and ePub downloads, according to the available data) and Abstracts Views on Vision4Press platform.
Data correspond to usage on the plateform after 2015. The current usage metrics is available 48-96 hours after online publication and is updated daily on week days.
Initial download of the metrics may take a while.