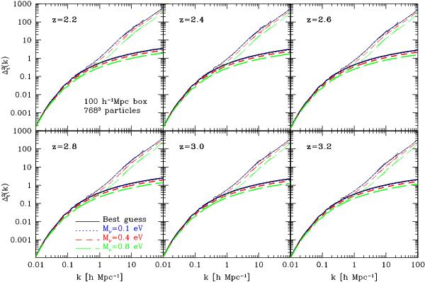
Fig. 8

Linear (thick lines) and nonlinear (thin lines) evolution of the three-dimensional total matter power spectrum computed from the best-guess realization (black lines) and from runs with massive neutrinos with Mν = 0.1,0.4, and 0.8 eV (dotted, dashed and long-dashed lines). Six intervals in redshifts are considered, from z = 2.2 to z = 3.2, with a spacing of Δz = 0.2.
Current usage metrics show cumulative count of Article Views (full-text article views including HTML views, PDF and ePub downloads, according to the available data) and Abstracts Views on Vision4Press platform.
Data correspond to usage on the plateform after 2015. The current usage metrics is available 48-96 hours after online publication and is updated daily on week days.
Initial download of the metrics may take a while.