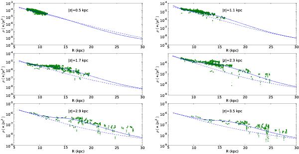
Fig. 3

Best fit (solid line) for the data of ρ(R,z) extracted from the star counts of F8-G5V stars in the SDSS. The dashed line stands for the best fit of the disc within R< 15 kpc without any flare, and extrapolated for R ≥ 15 kpc. Error bars stand only for Poissonian errors in the star counts and do not include other possible factors such as errors in the extinction. Note that in the lowest | z | bins there are no points at high R because of our constraint of | b | > 8° (see Fig. 2).
Current usage metrics show cumulative count of Article Views (full-text article views including HTML views, PDF and ePub downloads, according to the available data) and Abstracts Views on Vision4Press platform.
Data correspond to usage on the plateform after 2015. The current usage metrics is available 48-96 hours after online publication and is updated daily on week days.
Initial download of the metrics may take a while.