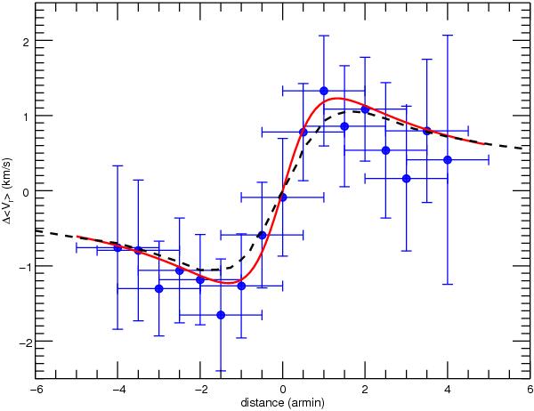
Fig. 10

Rotation profile of NGC 4372, where the abscissa shows the distance from the centre of the GC along the axis perpendicular to the rotation axis and the ordinate shows the mean offset from the GC’s systemic velocity in different overlapping bins. The horizontal error bars indicate the size of the selected bins, while the vertical error bars indicate the formal uncertainty of the mean velocity offset. The best fit, according to Eq. (10), is overplotted with a red line and the rotating model is shown with a black, dashed line.
Current usage metrics show cumulative count of Article Views (full-text article views including HTML views, PDF and ePub downloads, according to the available data) and Abstracts Views on Vision4Press platform.
Data correspond to usage on the plateform after 2015. The current usage metrics is available 48-96 hours after online publication and is updated daily on week days.
Initial download of the metrics may take a while.