Free Access
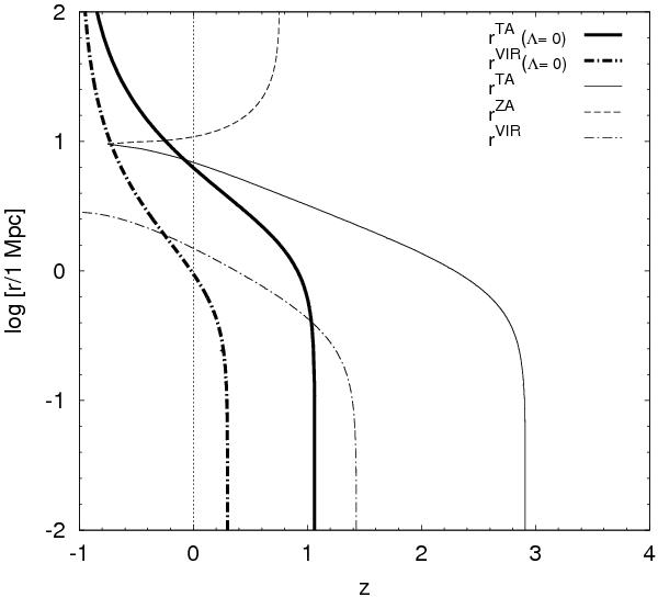
Fig. 5

Wide lines (Λ = 0 model): the continuous line represents the turn-around radius of the shell that reaches its turn-around point at redshift z; the dot-dashed line shows the virial radius of the shell that virializes at z. Narrow lines (ΛCDM model shown in Fig. 2): rTA, rZA, and rVIR as a function of z.
Current usage metrics show cumulative count of Article Views (full-text article views including HTML views, PDF and ePub downloads, according to the available data) and Abstracts Views on Vision4Press platform.
Data correspond to usage on the plateform after 2015. The current usage metrics is available 48-96 hours after online publication and is updated daily on week days.
Initial download of the metrics may take a while.