Free Access
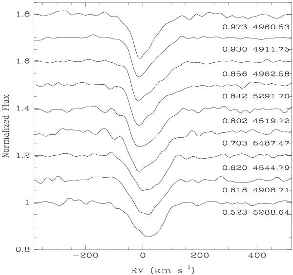
Fig. 4

Profile variation of the spectral line Mg ii λ4481 in HD 89890. Labels on the right are phases (calculated with P = 2.318 days) and HJD−2 450 000.
Current usage metrics show cumulative count of Article Views (full-text article views including HTML views, PDF and ePub downloads, according to the available data) and Abstracts Views on Vision4Press platform.
Data correspond to usage on the plateform after 2015. The current usage metrics is available 48-96 hours after online publication and is updated daily on week days.
Initial download of the metrics may take a while.