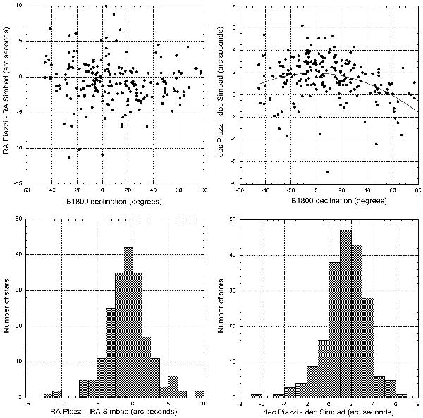
Fig. 8

Results of Piazzi’s measurements of 202 stars of his catalogue. Top left: errors in right ascension as a function of declination. Bottom left: histogram of errors in right ascension. Top right: errors in declination as a function of declination, with a second-degree polynomial fit of the data. Bottom right: histogram of errors in declination.
Current usage metrics show cumulative count of Article Views (full-text article views including HTML views, PDF and ePub downloads, according to the available data) and Abstracts Views on Vision4Press platform.
Data correspond to usage on the plateform after 2015. The current usage metrics is available 48-96 hours after online publication and is updated daily on week days.
Initial download of the metrics may take a while.