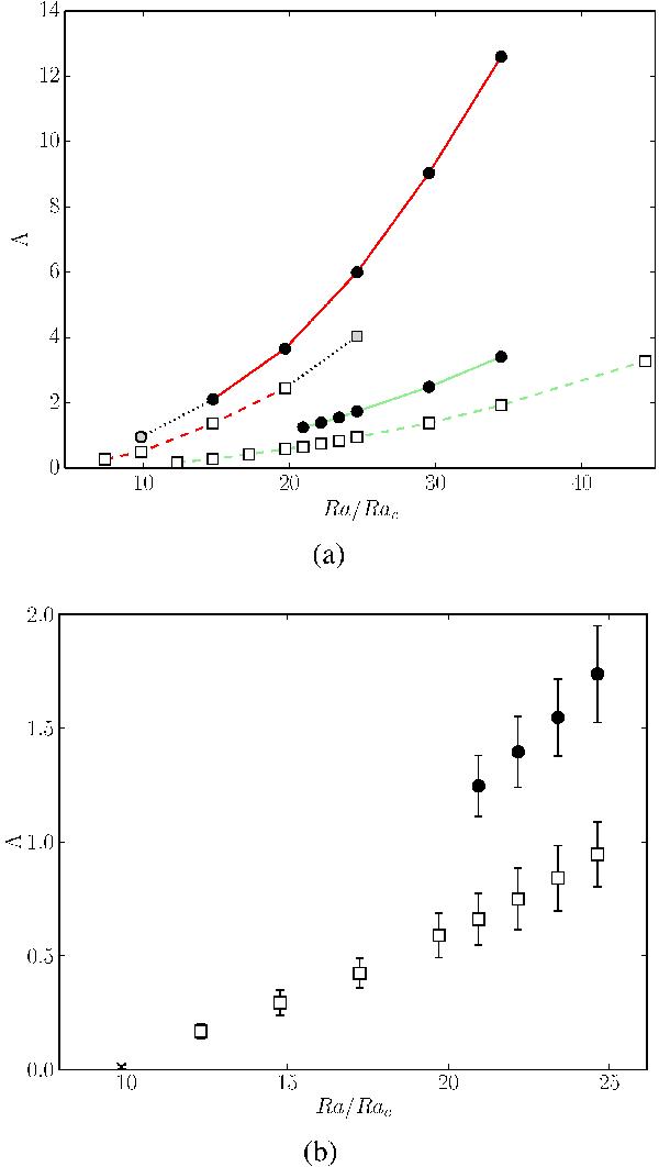
Fig. 2

a) Elsasser number Λ as a function of Ra/Rac, for Pm = 1 (green) and Pm = 3 (red). The meaning of the symbol shapes is defined in the caption of Fig. 1. A grey marker indicates that the solution loses its stability. b) Detail of the bifurcation close to the dynamo threshold for Pm = 1. Error bars represent the standard deviations.
Current usage metrics show cumulative count of Article Views (full-text article views including HTML views, PDF and ePub downloads, according to the available data) and Abstracts Views on Vision4Press platform.
Data correspond to usage on the plateform after 2015. The current usage metrics is available 48-96 hours after online publication and is updated daily on week days.
Initial download of the metrics may take a while.