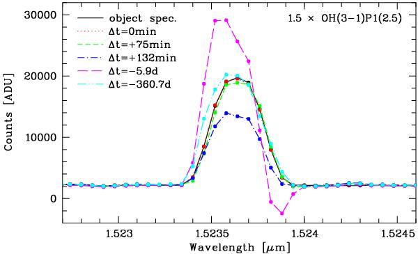
Fig. 15

Subtraction of the strong OH(3–1)P1(2.5) line from an object spectrum with an artificial emission line (black) at the same position and with the same line shape but only 50% of the strength of the sky line. The sky-correction results are shown for several time intervals between the object and the sky spectrum (see legend for colour and line type).
Current usage metrics show cumulative count of Article Views (full-text article views including HTML views, PDF and ePub downloads, according to the available data) and Abstracts Views on Vision4Press platform.
Data correspond to usage on the plateform after 2015. The current usage metrics is available 48-96 hours after online publication and is updated daily on week days.
Initial download of the metrics may take a while.