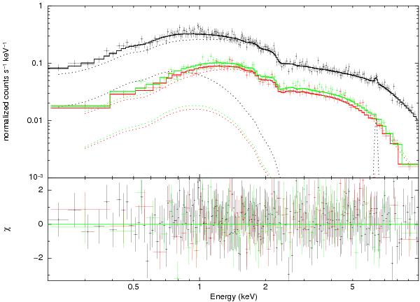
Fig. 3

Pulse-phase averaged EPIC spectra of RX J0520.5-6932. The top panel shows the EPIC-pn (black), EPIC-MOS1 (red) and EPIC-MOS2 (green) spectra, together with the best-fit model (solid lines) composed of an absorbed power law with photon index of 0.83, a black body with kT = 0.24 keV (dotted lines), and a Gaussian line at 6.4 keV. The residuals for this model are plotted in the bottom panel.
Current usage metrics show cumulative count of Article Views (full-text article views including HTML views, PDF and ePub downloads, according to the available data) and Abstracts Views on Vision4Press platform.
Data correspond to usage on the plateform after 2015. The current usage metrics is available 48-96 hours after online publication and is updated daily on week days.
Initial download of the metrics may take a while.