Free Access
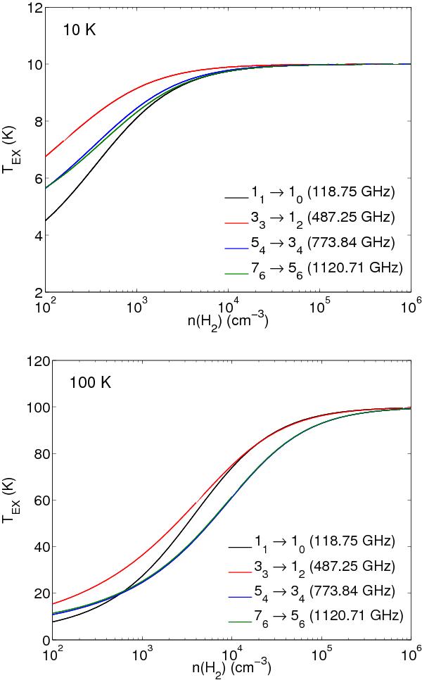
Fig. 4

Excitation temperature for the 11 → 10, 33 → 12, 54 → 34 and 76 → 56 lines of O2, as a function of volume density for T = 10 and 100 K. The column density of O2 is 1015 cm-2.
This figure is made of several images, please see below:
Current usage metrics show cumulative count of Article Views (full-text article views including HTML views, PDF and ePub downloads, according to the available data) and Abstracts Views on Vision4Press platform.
Data correspond to usage on the plateform after 2015. The current usage metrics is available 48-96 hours after online publication and is updated daily on week days.
Initial download of the metrics may take a while.