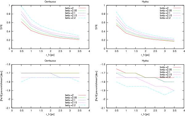
Fig. 11

Top: best fitting star formation efficiency f⋆ for the given mean radius rh and surface density profile slopes β. Primordial boundary conditions as discussed in the text would imply f⋆ ≲ 0.4 and rh ≲ 2 pc. Bottom: best fitting pre-enrichment level for the same range in mean radius rh and surface density profile slopes β as above. A physically motivated lower limit for the pre-enrichment level is about ~ − 1.8 dex, see text for details.
Current usage metrics show cumulative count of Article Views (full-text article views including HTML views, PDF and ePub downloads, according to the available data) and Abstracts Views on Vision4Press platform.
Data correspond to usage on the plateform after 2015. The current usage metrics is available 48-96 hours after online publication and is updated daily on week days.
Initial download of the metrics may take a while.