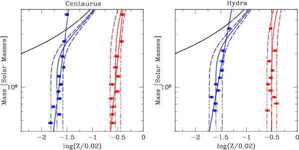
Fig. 8

Comparison between the measured mass-metallicity data points of GCs in Hydra/Centaurus, and the default version of the self-enrichment model by Bailin & Harris. The Y axis is the current mass of the GCs. The black curve shows the self-enrichment model with β = 2 and f⋆ =0.3. The blue and red solid curves are the result of the combination between self-enrichment and pre-enrichment. The dashed lines represent the scatter in colour of the points used in Fig. 5, converted into metallicity. The straight lines are the linear fits from Fig. 7.
Current usage metrics show cumulative count of Article Views (full-text article views including HTML views, PDF and ePub downloads, according to the available data) and Abstracts Views on Vision4Press platform.
Data correspond to usage on the plateform after 2015. The current usage metrics is available 48-96 hours after online publication and is updated daily on week days.
Initial download of the metrics may take a while.